next up previous
: まとめ : 信号検出理論の指標をめぐって 1 : ROC曲線による指標


ノンパラメトリックな信号検出理論

$A'$の算出

上で説明してきた指標は,どれもある程度正規性の仮定と等分散性の仮定におっていた.しかしそれらの仮定におっていない,ノンパラメトリックな手法が考案されているので,それを以下で説明する. 図5において,横軸はフォールスアラームの,縦軸はヒットの,それぞれ比率である.図中に示された$x,y$は測定されたそれぞれの値である.ここで$(1,1)$の点からと$(0,0)$の点から$(x,y)$を通る直線が引け,それによって図のように四つの領域に分割される. この場合ROC曲線は$(x,y)$の点を含むので,図の$A_{1}$$A_{2}$の領域内を通る.よって$I$は明らかにROC曲線よりも下の領域であり,$A_{1}$$A_{2}$はROC曲線よりも上の領域の一部と下の領域の一部が含まれる領域である.

図 5: ノンパラメトリックな信号検出理論
\resizebox {\figwid}{!}{\includegraphics{TSDF3.EPS}}

ここで,先述のようにROC曲線よりも下側の領域の面積は正答率とみなせる.そこで,$A_{1}$$A_{2}$の面積の半分と$I$の面積との和をROC曲線より下の面積と仮定してこの場合の正答率とみなす(Pollack, Norman & Galanter, 1964; Pollack & Norman, 1964).これは$A'$と呼ばれているもので,以下の式(4)のようにあらわせる.
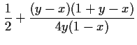
$\displaystyle A^{\prime }$ $\textstyle =$ $\displaystyle I+\frac{A_1+A_2}2$  
  $\textstyle =$ $\displaystyle \frac 12+\frac{(y-x)(1+y-x)}{4y(1-x)}$ (4)

バイアスの指標 $B^{\prime \prime }$

この場合のバイアスの算出法として,Hodos(1970)の方法をGrier(1971)が改良したものがある.この方法は図5の,$A_{1}$$A_{2}$のそれぞれの領域の面積の比からバイアスを求める方法である.数式であらわすと式(5)のようになる.
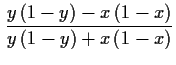
$\displaystyle B^{\prime \prime }$ $\textstyle =$ $\displaystyle \frac{A_1-A_2}{A_1+A_2}$  
  $\textstyle =$ $\displaystyle \frac{y\left( 1-y\right) -x\left( 1-x\right) }{y\left( 1-y\right) +x\left( 1-x\right) }$ (5)


しかしこれらのノンパラメトリックな指標は,被験者の成績がチャンスレベル以下の場合は正しくない.Aaronson and Watts(1987)は,その場合のこれらの指標の計算式を提案している.

tbs-i@mtg.biglobe.ne.jp